جستجو مطالب
ECF
انعقاد و شناورسازی الکتریکی (Electro Coagulation Flotation، ECF) چیست؟

انعقاد و شناورسازی الکتریکی (فرآیندهای الکتروکواگولاسیون یا الکتروفلوتاسیون) از روش های موثر برای تصفیه فاضلاب و بر پایه تکنولوژی الکتروشیمیایی است. روش انعقاد و شناورسازی الکتریکی برای تصفیه فاضلاب دارای مزایایی مانند سازگاری و انعطاف پذیری، اتوماسیون ساده، هزینه مقرون به صرفه، بازدهی بالا در مصرف انرژی، ایمنی بالا، و تطبیق پذیری با انواع فاضلاب می باشد. اگرچه این فناوری در طی دهه پیش کمتر مورد بررسی های علمی قرار گرفته است، اما این فناوری به صورت گسترده ای برای تصفیه فاضلاب های رقیق حاوی فلزات سنگین، فاضلاب صنایع غذایی، فاضلاب های حاوی روغن، الیاف و رنگ، فلورین، و مواد پلیمری، مواد آلی در شیرابه محل های دفن زباله، ذرات معلق، فاضلاب های حاوی نیترات، فنل، آرسنیک، و آلاینده های آلی مانند لیگنین و EDTA بکار می رود.
فرایند انعقاد و شناورسازی الکتریکی بر اساس تولید الکتریکی کاتیون ها از از آندهای آهن و یا آلومینیوم، به عنوان عاملی برای افزایش عوامل منعقدکننده در حذف آلاینده ها عمل می کنند.
فرایند انعقاد و شناورسازی الکتریکی شامل سه مرحله اصلی می باشد:
- - تشکیل عوامل منعقدکننده از طریق اکسیداسیون الکترولیتی الکترود قربانی
- - ناپایدار کردن ذرات آلاینده، ذرات معلق و شکستن امولسیون ها
- - تجمع و بهم چسبیدن فازهای ناپایدار شده

برای مطالعه بیشتر در خصوص بازدهی فرایند انعقاد و شناورسازی الکتروشیمیایی در تصفیه فاضلاب و کاربرد فرایند انعقاد و شناورسازی الکتروشیمیایی در واحد صنعتی در ایران بر روی لینک زیر کلیک فرمایید.
کاربردهای فرایند انعقاد و شناورسازی الکتریکی
فرایند انعقاد و شناورسازی الکتریکی برای تصفیه فاضلاب صنایع مختلف شامل موارد زیر استفاده می شود:
- - تصفیه آب های زیرزمینی
- - تولید آب آشامیدنی با کیفیت
- - تصفیه فاضلاب نواحی روستایی و دورافتاده
- - تصفیه فاضلاب صنایع نساجی، رنگرزی، دباغی و چرم سازی
- - تصفیه فاضلاب صنایع آبکاری
- - تصفیه فاضلاب های حاوی فنل، آرسنیک
- - تصفیه فاضلاب صنایع لبنی با بار آلی بالا
- - تصفیه فاضلاب های صنایع نفتی
- - تصفیه فاضلاب صنایع دامداری و کشتارگاه ها
- - تصفیه فاضلاب واحدهای کارواش و قالیشویی
مزایای فرایند انعقاد و شناورسازی الکتریکی
انعقاد و شناورسازی الکتریکی روشی موثر و با بازدهی بالا برای تصفیه فاضلاب است و دارای مزایای زیر می باشد:
- - تولید آب باکیفیت، فاقد رنگ و بو
- - نیاز به تجهیزات ساده و سادگی در عملیات
- - هزینه نصب و راه اندازی پایین و هزینه عملیاتی اندک
- - بهره برداری خودکار و پیوسته
- - نیاز کم به تعمیر و نگهداری
- - عدم نیاز به مواد شیمیایی و در نتیجه عدم نیاز به تصفیه آلاینده های ثانویه
- - تولید لجن پایین و سهولت در جداسازی و آبگیری لجن
- - سهولت در جداسازی مواد منعقد شده توسط فیلتراسیون
- - انتقال ذرات آلاینده به سطح محلول از طریق حباب ها و در نتیجه تغلیظ، جداسازی و جمع آوری ساده آلاینده ها از محلول
- - توانایی تصفیه تغییرات زیاد در مشخصات جریان و حضور چندین آلاینده متفاوت
- - امکان استفاده از فرایند در نواحی روستایی و دورافتاده با نصب صفحات خورشیدی و بدون نیاز به جریان الکتریسیته
برای مشاهده بازدهی فرایند انعقاد و شناورسازی الکتریکی در تصفیه فاضلاب های صنایع مختلف بر روی لینک کلیک فرمایید.
مکانیسم فرایند انعقاد و شناورسازی الکتریکی
روش انعقاد و شناورسازی الکتروشیمیایی از تکنولوژی های مناسب و موثر برای تصفیه آب و فاضلاب می باشد. در این فرایند، اکسیداسیون الکترولیتی الکترودی که قربانی می شود (آند) منجر به تولید منعقد کننده می شود. یون های فلزی تولید شده در الکترود آند با یون های هیدروکسید تشکیل شده در الکترود کاتد واکنش داده و هیدروکسیدهای فلزی ایجاد می کنند و این هیدروکسیدهای فلزی نامحلول با گونه های یونی باردار، کلوییدها، جامدات معلق و ... واکنش داده و رسوب می کنند. مکانیسم حذف در این فرایند شامل انعقاد، جذب سطحی، ترسیب و شناورسازی می باشد.

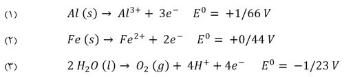
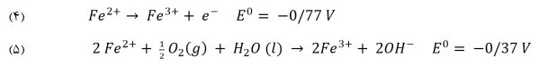
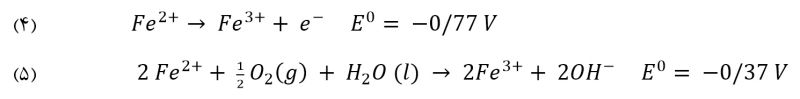
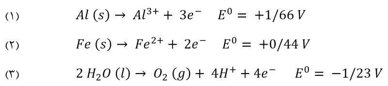
در فرایند الکترولیز واکنش های اکسیداسیون و کاهش پس از اعمال جریان الکتریکی در محلول الکترولیت انجام می شوند. فرایند انعقاد و شناورسازی الکتروشیمیایی بر اساس حل شدن مواد الکترودی که به عنوان آند استفاده شده، عمل می کند. آند که به نام آند قربانی نیز شناخته می شود، به عنوان عامل منعقدکننده در محلول آبی عمل می کند. الکترودها عموما از آلومینیوم، آهن، یا استینلس استیل ساخته می شود که موادی ارزان قیمت، موجود در بازار، موثر و غیرسمی هستند. ساختار سیستم های انعقاد و شناورسازی الکتروشیمیایی متفاوت هستند. ساختار سیستم های انعقاد و شناورسازی الکتروشیمیایی می تواند یک یا چندین جفت آند-کاتد داشته باشد و می توانند در حالت های تک قطبی یا دو قطبی اتصال یابند. در طی فرایند انعقاد و شناورسازی الکتروشیمیایی، واکنش های اصلی زیر در الکترودها روی می دهند:
واکنش های آندی:
آهن فروس توسط اکسیژن اتمسفری یا اکسیداسیون آند به Fe3+ اکسید می شود و واکنش های آن به شرح زیر می باشد:
واکنش های کاتدی:
همچنین در صورتیکه کلر در سیستم موجود باشد و پتانسیل آند نیز تا حد کافی بالا باشد، واکنش های زیر در سلول انعقاد و شناورسازی الکتروشیمیایی روی می دهند:
تشکیل گونه های فعال کلرین (Cl2، HClO، OCl-) موجب بهبود عمکرد راکتور انعقاد و شناورسازی الکتروشیمیایی از طریق بهبود واکنش های اکسیداسیون می شود. حل شدن فلز آند از قانون فارادی پیروی می کند:
در رابطه بالا پارامترها شامل I جریان اعمال شده بر حسب آمپر، ts زمان تصفیه بر اساس ثانیه، M جرم مولی مواد الکترود (MAl=26/982 g/mol, MFe=55/845 g/mol)، z یون های والانس مواد الکترودها (zAl=3, zFe=2)، و F ثابت فارادی و برابر با 96485 C/mol می باشد.
کاتیون های فلزی آزاد شده در فاز بالک تحت واکنش های مختلف تعادلی می روند و مکانیسم های مختلفی شامل تشکیل کمپلکس، ته نشینی و واکنش های اکسایش/کاهش اتفاق می افتند. نقش و اهمیت این مکانیسم های حذف وابسته به نوع و گونه های الاینده های موجود است که در جدول زیر نشان داده شده است:
| مکانیسم حذف آلاینده ها | آلاینده محلول |
| ته نشینی | انیون های سولفاید |
| ته نشینی | کاتیون های کلسیم |
| ته نشینی، جذب، تشکیل کمپلکس | آنیون های فسفات |
| تشکیل کمپلکس، ته نشینی | ترکیبات آلی |
| تشکیل کمپلکس، ته نشینی | آنیون های فلوراید |
البته برای کاتیون های فلزی آزاد شده از آند متداول ترین پدیده، تشکیل هیدروکسیدهای فلزی است که حلالیت پایینی داشته و به آسانی ته نشین می شوند. در نتیجه آلاینده های محلول در آب می توانند به صورت فیزیکی یا شیمیایی بر روی رسوبات جذب شوند. سایر مکانیسم هایی که در فرایند حذف آلاینده ها روی می دهند به شرح زیر هستند:
- - محبوس کردن فیزیکی مواد نامحلول در شبکه در طی ته نشینی هیدروکسیدها، جذب و تشکیل کمپلکس: به عنوان مثال، فسفات ها از فاضلاب از طریق تشکیل کمپلکس و یا ته نشینی با هیدروکسیدهای فلزی و یا جذب بر روی هیدروکسیدهای فلزی است. درحالیکه حذف ترکیبات آلی نامحلول از فاضلاب به دلیل مکانیسم های ته نشینی همزمان، و/ یا تشکیل کمپلکس و/ یا نیروهای جاذبه الکترواستاتیک بر روی سطح هیدروکسیدهای فلزی می باشد. برای تشکیل کمپلکس، آلاینده ها می توانند به عنوان یک لیگاند (L) عمل کنند تا هیدروکسیدهای آلومینیوم یا آهن را جذب کند.
- - الکترو-اکسایش بر روی آند یا الکترو-کاهش بر روی کاتد از الکترویون های فعال یا الکترومولکول های فعال: به عنوان نمونه می توان به کاهش کاتیونی Cr(VI) به Cr(III) اشاره کرد که با ته نشینی هیدروکسید Cr(III) ادامه می یابد. دیگر مثال های حذف آلاینده با این مکانیسم شامل کاهش آنیونی نیترات به نیتریت، آمونیاک و گاز نیتروژن و همچنین اکسیداسیون As(III) به As(V) اشاره کرد. برخی تحقیقات اشاره کرده اند که فلزات سنگین در طی فرایند انعقاد و شناورسازی الکتروشیمیایی تحت الکترو-کاهش در سطح کاتد قرار می گیرند.
- - جذب مستقیم آلاینده ها بر روی االکترودها: این مکانیسم به خصوص برای آنیون های فلوراید به دلیل الکترو-چگالش روی می دهد که آنیون های فلوراید از طریق نیروهای الکتریکی به آند جذب می شوند.
مکانیسم هایی که در فرایند انعقاد و شناورسازی الکتروشیمیایی روی می دهند به صورت خلاصه در شکل زیر نشان داده شده اند.

مبانی طراحی فرایند انعقاد و شناورسازی الکتریکی
در طراحی راکتور انعقاد و شناورسازی الکتریکی از دو نوع آرایش تک قطبی و دوقطبی استفاده می شود که می توانند به صورت سری و موازی بکار روند. انواع آرایش راکتورهای انعقاد و شناورسازی در شکل های زیر نشان داده شده است:


- - در فرایند انعقاد و شناورسازی الکتریکی از راکتورهای با صفحات افقی، عمودی و حفره دار به همراه الکترودهای سیلندری یا دیسک های چرخشی و همچنین راکتورهای فیلتر پرس استفاده می شود.
- - جریان آبی که در راکتور جریان می یابد به دو روش کانال های چندگانه یا کانال تک در راکتور جریان می یابند.
- - در نوع راکتور فیلتر پرس که مشابه با فیلترهای صنعتی است، آند، کاتد و غشا در یک مدول قرار دارند و در نتیجه تمیز کردن و تگهداری راکتور ساده می باشد.
اطلاعات ارائه شده در وبسایت کلی می باشد. جهت دریافت اطلاعات بیشتر در خصوص تصفیه فاضلاب به روش انعقاد و شناورسازی الکتروشیمیایی، عملکرد راکتور انعقاد و شناورسازی الکتروشیمیایی در تصفیه فاضلاب و ... می توانید با کارشناسان شرکت ابنیه پایدار سبز تماس گرفته و از اطلاعات بیشتر برخوردار گردید.
تصفیه فاضلاب به روش انعقاد و شناورسازی الکتریکی، تصفیه فاضلاب به روش الکتروکواگولیشن، تصفیه فاضلاب به روش الکتروکواگولاسیون، تصفیه فاضلاب به روش های الکتروشیمیایی، بررسی قابلیت تصفیه فاضلاب به روش انعقاد و شناورسازی الکتروشیمیایی، راکتور انعقاد و شناورسازی الکتریکی، مبانی طراحی راکتور انعقاد و شناورسازی الکتریکی، مبانی طراحی فرایند تصفیه انعقاد و شناورسازی الکتروشیمیایی، ساختار راکتور انعقاد و شناورسازی الکتروشیمیایی، روش انعقاد شیمیایی، روش انعقاد و لخته سازی، روش انعقاد، روش انعقاد الکتریکی، روش انعقاد در تصفیه آب، روش انعقاد در تصفیه فاضلاب، تصفیه فاضلاب به روش انعقاد الکتریکی، روش انعقاد الکتریکی در تصفیه فاضلاب، انعقاد الکتروشیمیایی، شناورسازی الکتریکی، انعقاد و شناورسازی الکتریکی، تصفیه الکتروشیمیایی فاضلاب، انعقاد الکتروشیمیایی، الکتروکواگولیشن، شناورسازی الکتریکی، شناورسازی الکتروشیمیایی، پکیج انعقاد الکتریکی و شناورسازی الکتریکی، پکیج انعقاد الکتروشیمیایی و شناورسازی الکتروشیمیایی، ارزیابی عملکرد تصفیه خانه فاضلاب, بهره بردای سیستم های تصفیه فاضلاب, پارامتر های طراحی سیستم تصفیه, پیش تصفیه فاضلاب, تصفیه خانه فاضلاب چیست, تصفیه فاضلاب, فاضلاب









